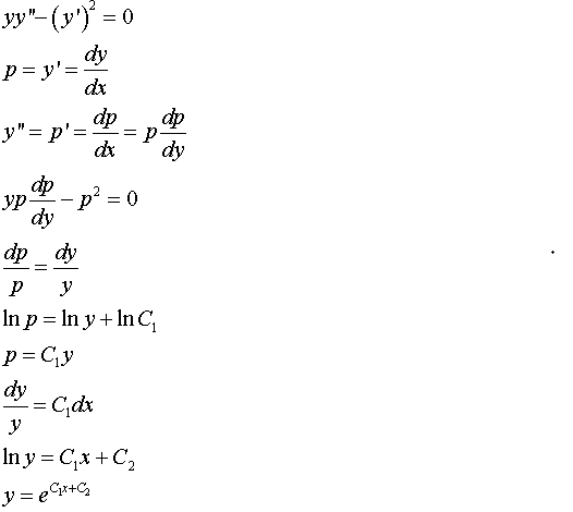
不显含x,可令y'=p
则y"=dp/dx=pdp/dy 代入原方程得
y.*p*dy/dx=-2p^2
dp/-2p=1/y*dy
-1/2lnp=lny+c1
y*p^-1/2=c1*y
c*dy/dx=y^-2
c/y^-2*dy=dx
1/3*c*y^3=x+c1
y^3=c2x+c3

扩展资料:
含义:含有未知函数的导数,如的方程都是微分方程。一般的凡是表示未知函数、未知函数的导数与自变量之间的关系的方程,叫做微分方程。未知函数是一元函数的,叫常微分方程;未知函数是多元函数的叫做偏微分方程。微分方程有时也简称方程。对于一个微分方程而言,其解往往不止一个,而是有一组,可以表示这一组中所有解的统一形式,称为通解。
求微分方程通解的方法有很多种,如:特征线法,分离变量法及特殊函数法等等。而对于非齐次方程而言,任一个非齐次方程的特解加上一个齐次方程的通解,就可以得到非齐次方程的通解
定义式:f(x,y',y'',…``…y(n))=0